Satuan Energi Potensial Gravitasi

Energi Potensial dalam Fisika

Energi potensial dalam fisika adalah salah satu konsep penting yang digunakan untuk menggambarkan kemampuan suatu benda dalam melakukan kerja berdasarkan posisi atau keadaannya. Energi potensial timbul akibat adanya gaya konservatif, seperti gaya gravitasi atau gaya elastisitas. Dalam artikel ini, kita akan mengeksplorasi berbagai aspek terkait energi potensial, termasuk cara menentukannya, keuntungan dan kekurangannya, serta bagaimana memesannya dan lokasi dapat mengambil peran penting dalam mengoptimalkan penggunaan energi potensial.

Apa Itu Energi Potensial?

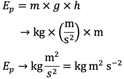
Energi potensial dapat didefinisikan sebagai kemampuan suatu benda untuk melakukan kerja berdasarkan posisinya atau keadaannya. Ada beberapa jenis energi potensial yang umum ditemui, salah satunya adalah energi potensial gravitasi. Energi potensial gravitasi timbul akibat adanya gaya gravitasi yang bekerja pada benda. Adapun persamaan matematis untuk menghitung energi potensial gravitasi adalah:

Diagram Energi Potensial Gravitasi

Keuntungan Energi Potensial

Penggunaan energi potensial memiliki beberapa keuntungan yang perlu diperhatikan. Salah satu keuntungan utamanya adalah kemampuan untuk melakukan kerja tanpa mengubah bentuk energi awal. Dalam kasus energi potensial gravitasi, energi potensial dapat diubah menjadi energi kinetik saat benda jatuh dari ketinggian. Ini dapat dimanfaatkan dalam berbagai aplikasi, seperti pembangkit listrik tenaga air. Selain itu, energi potensial juga dapat disimpan dalam sistem, sehingga dapat digunakan pada saat yang diperlukan. Misalnya, energi potensial elastisitas pada pegas dapat digunakan dalam kendaraan untuk meredam guncangan.

Energi Potensial dalam Mekanika

Kekurangan Energi Potensial

Di sisi lain, penggunaan energi potensial juga memiliki beberapa kekurangan yang perlu diperhatikan. Salah satu kekurangannya adalah ketergantungan terhadap kondisi atau situasi tertentu. Sebagai contoh, energi potensial gravitasi hanya dapat dimanfaatkan jika terdapat perbedaan ketinggian yang cukup tinggi. Selain itu, penggunaan energi potensial juga memerlukan instalasi dan perawatan yang cukup rumit, sehingga memerlukan biaya tambahan. Hal ini perlu diperhatikan dalam mempertimbangkan penggunaan energi potensial sebagai alternatif sumber energi.

Cara Menentukan Energi Potensial

Untuk menentukan energi potensial suatu benda, kita perlu menghitungnya berdasarkan persamaan matematis yang sesuai dengan jenis energi potensial yang dimiliki oleh benda tersebut. Pada umumnya, energi potensial dapat dihitung dengan menggunakan persamaan:

Energi potensial = massa x percepatan gravitasi x ketinggian

Dimana massa adalah massa benda, percepatan gravitasi adalah percepatan gravitasi bumi (9,8 m/s^2), dan ketinggian adalah perbedaan tinggi antara posisi benda dengan posisi referensi tertentu.

Pemesanan dan Lokasi Energi Potensial

Jika Anda tertarik untuk memesan energi potensial atau memanfaatkannya untuk keperluan tertentu, Anda dapat menghubungi penyedia energi potensial terdekat di lokasi Anda. Lokasi pengambilan energi potensial dapat bervariasi tergantung pada jenis energi potensial yang diinginkan. Sebagai contoh, jika Anda membutuhkan energi potensial gravitasi, Anda dapat mencari daerah dengan perbedaan ketinggian yang cukup tinggi untuk menghasilkan energi potensial tersebut. Sementara itu, jika Anda membutuhkan energi potensial elastisitas, Anda dapat mencari pemasok pegas terpercaya untuk memenuhi kebutuhan Anda.

Sebagai kesimpulan, energi potensial merupakan konsep penting dalam fisika yang digunakan untuk menggambarkan kemampuan suatu benda dalam melakukan kerja berdasarkan posisi atau keadaannya. Energi potensial memiliki beberapa keuntungan, seperti kemampuan untuk melakukan kerja tanpa mengubah bentuk energi awal, serta kemampuan untuk disimpan dalam sistem. Namun, penggunaan energi potensial juga memiliki beberapa kekurangan, seperti ketergantungan pada kondisi atau situasi tertentu. Untuk menentukan energi potensial suatu benda, kita perlu menghitungnya berdasarkan persamaan matematis yang sesuai dengan jenis energi potensial yang dimiliki oleh benda tersebut. Jika Anda tertarik untuk memesan energi potensial atau memanfaatkannya untuk keperluan tertentu, Anda dapat menghubungi penyedia energi potensial terdekat di lokasi Anda.