Soal matematika? Jangan takut! Yuk coba pecahkan contoh soal matematika fungsi komposisi berikut ini!
Contoh Soal Matematika Fungsi Komposisi
Berikut adalah contoh soal matematika fungsi komposisi yang dapat kita pecahkan bersama-sama:

Apa itu Fungsi Komposisi?
Fungsi komposisi adalah gabungan dari dua atau lebih fungsi menjadi satu fungsi dengan cara memasukkan fungsi yang satu ke dalam fungsi yang lainnya. Dalam fungsi komposisi, penggunaan tanda kurung sangat penting untuk menentukan urutan dalam pengoperasian fungsi.
Mengapa Perlu Belajar Fungsi Komposisi?
Fungsi komposisi banyak digunakan dalam matematika, khususnya dalam kalkulus, yang merupakan cabang matematika yang berkaitan dengan perhitungan turunan dan integral. Selain itu, konsep fungsi komposisi juga banyak dijumpai dalam bidang-bidang lain seperti fisika, kimia, dan ekonomi.
Bagaimana Cara Memecahkan Soal Fungsi Komposisi?
Untuk memecahkan soal fungsi komposisi, kita perlu mengikuti urutan langkah-langkah berikut:
1. Periksa apakah fungsi-fungsi yang diberikan dapat disusun menjadi suatu fungsi komposisi.
2. Tentukan fungsi mana yang akan dimasukkan ke dalam fungsi yang lainnya, sesuai dengan aturan pengoperasian fungsi.
3. Setelah ditentukan fungsi mana yang akan dimasukkan ke dalam fungsi yang lainnya, susunlah fungsi-fungsi tersebut dengan benar sesuai dengan aturan pengoperasian fungsi.
4. Evaluasi fungsi komposisi yang telah disusun dengan menghitung output-nya.
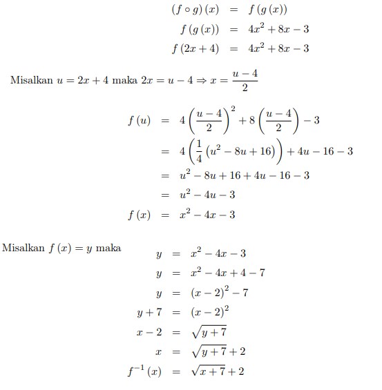
Contoh Soal Fungsi Komposisi
Berikut adalah contoh soal fungsi komposisi yang dapat kita pecahkan bersama-sama:
Contoh Soal Fungsi Komposisi
Diberikan fungsi f(x) = x2 dan g(x) = √(x+1). Tentukan f(g(x)).
Penyelesaian:
f(g(x)) = f(√(x+1)) = (√(x+1))2 = x+1
Jadi, f(g(x)) = x+1.
Dengan mengetahui apa itu fungsi komposisi, mengapa belajar fungsi komposisi, bagaimana cara memecahkan soal fungsi komposisi, dan contoh soal fungsi komposisi yang sudah kita pecahkan bersama-sama, maka kita dapat lebih percaya diri dalam mengerjakan soal matematika fungsi komposisi. Selalu upayakan latihan dan belajar secara teratur untuk meningkatkan kemampuan matematika kita. Happy learning!

